leetcode 721 题解
并查集简介
题目
给定一个列表 accounts,每个元素 accounts[i] 是一个字符串列表,其中第一个元素 accounts[i][0] 是 名称 (name),其余元素是 emails 表示该账户的邮箱地址。
现在,我们想合并这些账户。如果两个账户都有一些共同的邮箱地址,则两个账户必定属于同一个人。请注意,即使两个账户具有相同的名称,它们也可能属于不同的人,因为人们可能具有相同的名称。一个人最初可以拥有任意数量的账户,但其所有账户都具有相同的名称。
合并账户后,按以下格式返回账户:每个账户的第一个元素是名称,其余元素是 按字符 ASCII 顺序排列 的邮箱地址。账户本身可以以 任意顺序 返回。
示例 1:
输入:accounts = [[“John”, “johnsmith@mail.com“, “john00@mail.com“], [“John”, “johnnybravo@mail.com“], [“John”, “johnsmith@mail.com“, “john_newyork@mail.com“], [“Mary”, “mary@mail.com“]]
输出:[[“John”, ‘john00@mail.com‘, ‘john_newyork@mail.com‘, ‘johnsmith@mail.com‘], [“John”, “johnnybravo@mail.com“], [“Mary”, “mary@mail.com“]]
解释:
第一个和第三个 John 是同一个人,因为他们有共同的邮箱地址 “johnsmith@mail.com“。
第二个 John 和 Mary 是不同的人,因为他们的邮箱地址没有被其他帐户使用。
可以以任何顺序返回这些列表,例如答案 [[‘Mary’,‘mary@mail.com‘],[‘John’,‘johnnybravo@mail.com‘],
[‘John’,‘john00@mail.com‘,‘john_newyork@mail.com‘,‘johnsmith@mail.com‘]] 也是正确的。
示例 2:
输入:accounts = [[“Gabe”,”Gabe0@m.co“,”Gabe3@m.co“,”Gabe1@m.co“],[“Kevin”,”Kevin3@m.co“,”Kevin5@m.co“,”Kevin0@m.co“],[“Ethan”,”Ethan5@m.co“,”Ethan4@m.co“,”Ethan0@m.co“],[“Hanzo”,”Hanzo3@m.co“,”Hanzo1@m.co“,”Hanzo0@m.co“],[“Fern”,”Fern5@m.co“,”Fern1@m.co“,”Fern0@m.co“]]
输出:[[“Ethan”,”Ethan0@m.co“,”Ethan4@m.co“,”Ethan5@m.co“],[“Gabe”,”Gabe0@m.co“,”Gabe1@m.co“,”Gabe3@m.co“],[“Hanzo”,”Hanzo0@m.co“,”Hanzo1@m.co“,”Hanzo3@m.co“],[“Kevin”,”Kevin0@m.co“,”Kevin3@m.co“,”Kevin5@m.co“],[“Fern”,”Fern0@m.co“,”Fern1@m.co“,”Fern5@m.co“]]
提示:
1 <= accounts.length <= 1000
2 <= accounts[i].length <= 10
1 <= accounts[i][j].length <= 30
accounts[i][0] 由英文字母组成
accounts[i][j] (for j > 0) 是有效的邮箱地址
思路
并查集+哈希表
此题的难点在于判断邮箱是否属于同一个人,而并查集可以很方便的做到这一点。并查集简介:
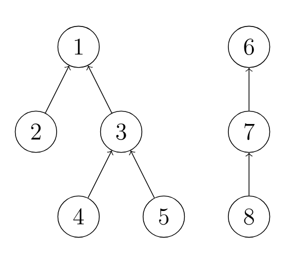
并查集可以理解为一个森林,每棵树表示为一个集合,树中的节点表示对应集合中的元素,不同集合的元素指向不同的根。
顾名思义,并查集支持合并和查找。使用数组表示并查集,数组中记录的是每个节点对应的根节点(的编号)。
用类封装并查集
1
2
3
4class unionSet {
public:
vector<int> nums;
};初始化
将所有节点的根设置为它自己。resize是调整数组的大小。1
2
3
4
5
6unionSet(int n) {
nums.resize(n);
for (int i = 0; i < n; i++) {
nums[i] = i;
}
}合并函数
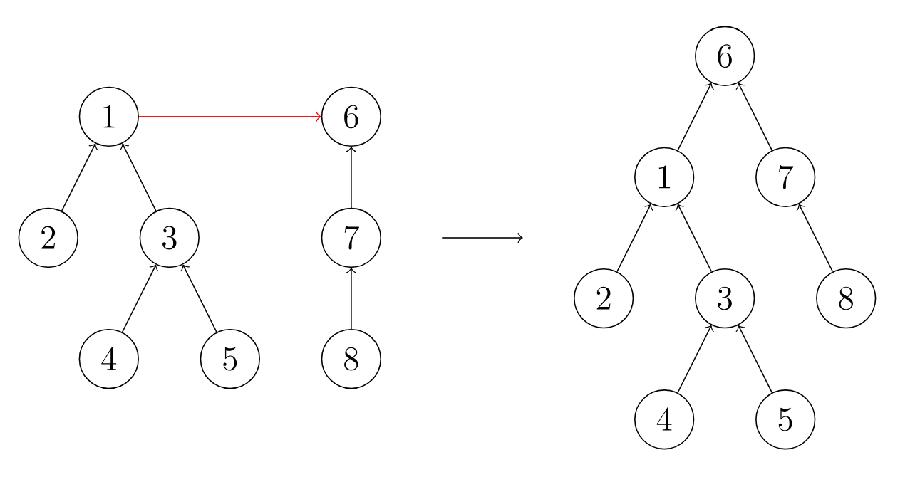
将节点2的根节点设为节点1的根节点。
1
2
3
4void set(int index1, int index2) {
parent[find(index2)] = find(index1);
return;
}查找函数
递归查找当前节点对应的根节点,直到当前节点的下标与根节点一致。1
2
3int find(int index) {
return parent[index] == index ? index : find(parent[index]);
}
介绍完并查集,使用并查集来解决本题。本题的思路就是,将 每个邮箱 映射为一个数字,然后在该数字的基础上使用并查集的思想合并同一个人的邮箱,最后把同一个人的邮箱进行排序,然后返回结果。所以,第一步需要将邮箱映射到数字和名字,然后使用并查集合并同一个人的邮箱。
然后就是本题中相对复杂的一部分,将同一个人的所有邮箱找出来。因为在上一步中,我们已经合并了同一个人的邮箱。所以在这一步中,我们遍历邮箱到数字的哈希表(每个相同的邮箱只会出现一次,并且有相同的 id )。使用一个哈希表记录每个人对应的邮箱(用vector数组表示),键可以是任意的,只要每个相同的人对应的键是相同的即可。所以,我们使用每个邮箱在哈希表中的根作为键,这样就保证了每个人的键的唯一性。根据这个键查找并加入邮箱。这一步完成后,我们就得到了一个哈希表,键是数字(每个人唯一),值是包含所有邮箱的数组。
最后一步就是把邮箱和名字对应起来,并对邮箱进行排序。我们可以直接使用 sort() 函数对 vector 数组中的邮箱进行排序,然后根据第一步中的哈希表(邮箱到名字)找到名字,最后得到结果并返回。
时间复杂度应该是 $O(n \log n)$ 。其中 $n$ 是不同邮箱地址的数量。
需要遍历所有邮箱地址,在并查集内进行查找和合并操作,对于两个不同的邮箱地址,如果它们的祖先不同则需要进行合并,需要进行 2 次查找和最多 1 次合并。一共需要进行 $2n$ 次查找和最多 $n$ 次合并,因此时间复杂度是 $O(2n \log n)=O(n \log n)$ 。
整理出题目要求的返回账户的格式时需要对邮箱地址排序,时间复杂度是 $O(n \log n)$ 。
其余操作包括遍历所有邮箱地址,在哈希表中记录相应的信息,时间复杂度是 $O(n)$ ,在渐进意义下 $O(n)$ 小于 $O(n \log n)$ 。
因此总时间复杂度是 $O(n \log n)$ 。
空间复杂度是 $O(n)$ ,其中 $n$ 是不同邮箱地址的数量。空间复杂度主要取决于哈希表和并查集,每个哈希表存储的邮箱地址的数量为 $n$ ,并查集的大小为 $n$ 。
1 | class unionSet { |
